本封面体现了阿秒脉冲的产生原理。电子通过激光场(红色)中被弯曲的势垒(绿色势场)隧穿电离,并经历不同的运动轨道,最终释放出阿秒脉冲(紫色)。阿秒脉冲经过圆形滤光片过滤,再以光栅分光,可以进一步开展测量与应用。图中以波纹的形式展现了电子的波函数,在波面上下的本体与倒影体现了封面所描述的阿秒光学跨越经典理论与量子理论的半经典模型。
但对于原子分子尺度的微观运动的观测,需要进一步达到皮秒(10-12 s)乃至飞秒(10-15 s)量级的时间分辨率。而对于核外电子动力学测量,则需要阿秒(10-18 s)量级的时间分辨率。举例来说,在氢原子中的电子绕玻尔半径的轨道旋转一周需要的时间约为150 as (阿秒,attosecond)。
自从2001年人们首次实现单个独立的阿秒脉冲以来,阿秒脉冲作为超快光学最前沿的内容,在近20年的时间内得到了长足的发展,为人们在电子运动的自然时间尺度中观测量子世界的基本动力学过程提供了崭新的研究手段,并开启了阿秒科学这一全新的研究领域,应用覆盖了原子、分子、凝聚态物理、化学、生物等诸多学科的不同研究需求。
针对这一快速发展的研究领域,中国科学院物理研究所魏志义研究员课题组总结了阿秒脉冲近年来最新研究进展,并展望了未来的发展趋势。
高次谐波的基本性质可以用半经典的三步模型理论来解释,如图1所示:首先在超快激光场的作用下,电子通过被强激光场压低的势垒隧穿电离离开原子;然后电子在光场中被进一步加速;最后部分电子被反向推回母核并与母核复合,释放波长覆盖从极紫外至软X射线辐射的范围的高次谐波光子。
但直至2001年,人们才基于高次谐波分别在实验中测量到阿秒脉冲串及从脉冲串中提取出的孤立阿秒脉冲,脉冲宽度在百阿秒量级,是人类所能获得并操控的最短时间尺度。目前国际上已有多个研究组产生并实现了阿秒脉冲的测量。
2017年,美国及瑞士的研究小组采用1.8 μm波长的红外飞秒激光作为驱动光源,先后报道了53 as 及43 as 的最短脉冲世界纪录。
国际上对阿秒脉冲的先驱性研究及其展现出的广阔的应用前景,也刺激了国内对阿秒脉冲相关研究的进展。
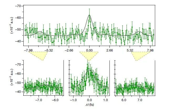
中国科学院物理研究所魏志义等人于2013年报道了160 as孤立阿秒脉冲的测量结果,并在2018年报道了结合阿秒光源与多种测量终端,开展跨学科的超快时间分辨测量用户装置的建设计划。
2020年,华中科技大学,国防科技大学和中国科学院西安光学精密机械研究所相继实现了孤立阿秒脉冲的测量。
利用高能量驱动激光产生HHG时,通过松聚焦增加焦距与产生介质长度并以平方倍率降低气压,可以保证HHG的转换效率,这成为了产生高通量阿秒脉冲的可行方案。
2002年,法国CEA-SACLAY的J.-F. Hergott等人利用松聚焦的TW级驱动激光,在Xe气中获得了微焦量级的极紫外输出。同年日本理化学研究所的E. Takahashi等人,分别在不同气体中实现了高通量的HHG输出,其中在Xe气中总能量达到11.5 μJ,将阿秒脉冲的应用带到了非线性光学领域。
利用双色及多色光场相干合成的光场可以克服孤立阿秒脉冲选通对驱动激光脉宽的限制,并且可以以控制电子轨道的方式提升阿秒脉冲的产生效率,是产生高通量孤立阿秒脉冲的一种理想方法。
2013年,日本理化学研究所的E. Takahashi等人用800 nm的飞秒钛宝石激光及通过参量放大产生的1300 nm的参量激光组合的双色光场作为驱动光源,获得了能量达1.3 μJ、脉宽约500 as的孤立阿秒脉冲(图2),通过自相关技术测量得到了脉宽信息。
常规的近红外飞秒驱动激光难以产生上述波段的高光子能量。利用中红外波段的驱动激光,以降低转换效率为代价,可大幅扩展HHG的截止光子能量。
2001年,当时在美国密歇根大学的B. Shan(山冰)与Z. Chang(常增虎)利用1.51 μm参量放大激光(OPA)驱动气体HHG,将Ar气产生的HHG的截止能量从64 eV扩展到了160 eV。
2012年,美国JILA的T. Popmintchev等人将3.9 μm驱动激光注入充有高密度气体的长空心波导管中,产生了截止能量在1.6 keV,带宽0.7 keV的连续高次谐波,理论上可支持2.5 as转换极限的孤立阿秒脉冲,如图3所示。
同年,瑞士苏黎世联邦理工学院的研究人员同样利用OPA技术获得了长波长飞秒激光,进一步得到了脉宽43 as的孤立阿秒脉冲,是迄今为止最短阿秒脉冲的世界纪录。
2003年,德国MPQ的F. Lindner等人首次报道了使用高重复频率(100 kHz)和低脉冲能量(7 μJ)的钛宝石再生放大驱动光源产生高次谐波。通过优化相位匹配,并结合频率上转换实现更短驱动波长的高重频高平均功率激光,成为了产生高通量阿秒脉冲的另一手段。
2020年,德国耶拿大学R. Klas等利用1030 nm Yb光纤倍频后的515 nm波段实现1 MHz, 89W的输出,并在26.5 eV光子能量处达到了约3×1015光子每秒(12.9 mW)的高次谐波输出。
在高重频高次谐波中提取阿秒脉冲也已见诸报道。
近两年,匈牙利ELI-ALPS相继报道了420 as和395 as的100 kHz阿秒脉冲序列的测得工作。
2020年,德国MBI报道了使用CEP锁定的7 fs,190 μJ,100 kHz,800 nm的NOPCPA光源成功测量了160 as 孤立脉冲的实验结果。
对于更高重复频率的高次谐波装置,利用提升气压满足相位匹配非常困难。该类系统可行的方案是使用共振增强腔,使高次谐波产生的源位于一个谐振腔的内部,通过驱动光源在腔内的振荡,提升腔内电场强度,可以实现在极紫外波段的频率梳,如图4所示。
虽然早在90年代就已经在理论上得到预言,但直到2010年,人们才第一次在500 μm的ZnO 晶体中得到高次谐波信号,激光参数为3.25 μm,100 fs,1 kHz,聚焦后的功率密度约为5×1012 W/cm2,产生截止区25阶(9.5 eV)的高次谐波,如图5所示。
2015年,加拿大渥太华大学G. Vampa等人在 ZnO单晶中偶次谐波信号中提取出产生过程中电子-空穴对积累的相位,在实验上第一次实现能带结构的全光学测量。
2020年,德国MPQ的E. Goulielmakis通过分析MgF2晶体中产生的固体高次谐波,反演得到了材料中价电子势能与电子密度信息,并实现了26 ps的分辨率,为精确观测材料中价电子波包形貌奠定了基础。
此外,利用高平均功率飞秒钛宝石激光驱动光源,已产生重复频率大于100 kHz、脉宽仅160 as的阿秒脉冲;多个研究组采用波长1030 nm的高平均功率光纤及全固态驱动激光,得到了重复频率大于1 MHz的HHG。
得益于这些不同参数性能的阿秒脉冲及高次谐波的出现,人们能够全面表征认知原子、分子以及纳米结构中阿秒时间尺度上的超快过程,并将阿秒科学进一步拓展到化学、生物以及凝聚态物理等诸多领域。
特别值得指出的是,近年固体高次谐波研究的出现和兴起,不仅为阿秒科学的未来发展提供了新的思路,也为人们研究激光与材料相互作用提供了新的光学研究方法。
可以预见,研究人员在不久的未来有望得到脉宽更短、光子能量更高的高通量阿秒脉冲,从而能够利用阿秒泵浦-阿秒探测等超快光谱技术,将人们对于微观世界的认知真正带入到电子运动的阿秒时间尺度之中。









暂无评论内容