图1 玻色原子与费米原子受不同量子统计规律限制:玻色气体可以形成玻色-爱因斯坦凝聚(左图);费米气体将形成费米海(右图)
实际上真正无相互作用的系统十分少见,自然界中的系统基本都存在相互作用,粒子之间也都是相互关联的。非常著名的一个例子:当费米面附近的一对动量(和自旋)大小相等、方向相反的费米子之间如果存在着相互作用,那么它们将有可能结合形成费米库伯对,从而形成费米超导或费米超流。这种情况在凝聚态物理中得到广泛的研究。在超冷费米原子气体中,原子的相互作用可以调控,当库伯对的两个粒子之间的相互作用逐渐增大时,库伯对的尺寸会逐渐减小以致形成由两个费米子组成的复合玻色子,进而发生分子的玻色-爱因斯坦凝聚。在费米原子间的相互作用从弱到强的变化过程中,系统的行为将从费米原子超流逐渐向分子玻色-爱因斯坦凝聚平滑过渡,即为著名的BEC—BCS渡越 [2] 。
在超低温下,无论费米原子还是玻色原子的热运动都会变得十分缓慢,极大地增加相干相互作用时间。这在许多高新技术应用领域具有广阔的应用前景。由冷原子形成、超高灵敏度的原子干涉仪及陀螺仪,其精度可比相同条件下的光学干涉仪的精度提高多个量级,是当前国家的重大需求。另外一个重要的应用是,利用单成分无相互作用的费米冷原子所实现的原子光钟。这种原子光钟是目前最精确的时间标准之一,对精确定位及国防安全具有重要的意义。图2所示为美国天体物理联合实验室(JILA)叶军研究小组的锶原子光钟。JILA 采用三维光晶格中囚禁的量子简并费米气体来开展的锶原子光晶格光钟实验,进一步减小了原子碰撞频移,解决了锶光钟稳定度和准确度之间互相矛盾的问题。最终在1 h 的平均时间内,研究小组将锶光钟的时间不确定度推进到了,超越了铯原子喷泉钟、离子阱囚禁光钟,准确度达到2亿年的时间内误差都不会超过1秒 [3] 。
图2 (a)锶光晶格光钟简图;(b)3D光晶格不同区域的同步比较
当不同种类的原子气体被冷却到超低温的时候,不同种类的原子之间也可以结合形成异核分子[4] 。这种人工合成的全新的分子有着非常迷人的性质,其独特而复杂的分子能量结构为基础物理的灵敏探测提供了新的机遇。各向异性和远程偶极相互作用为多体系统中强关联和集体量子动力学增添了新的成分。将极性分子引入量子体系,通过分子及其长程各向异性偶极相互作用的量子统计来控制化学反应,研究关于分子超冷气体中强相互作用和集体量子效应。这吸引了许多来自原子、光学、凝聚态物理、物理化学、量子科学等各个科学领域的研究人员的热切关注。
超冷费米气体可控自由度非常之高,研究内容异常丰富。操控超冷费米气体的动能,可以研究自旋轨道耦合,模拟新型量子系统中的电子行为(如模拟绝缘体或超导体中的电子),同时还可以研究拓扑绝缘体和生成超冷分子[5-6] 。操控超冷费米气体的外加俘获势的形式更有着丰富的研究内容:把超冷费米气体装载入人工光晶格中制成不同维度的人工晶体,被誉为理想的人工晶体;可以开展量子模拟,研究凝聚态物理的晶格模拟、费米温度区间的Mott物理及亚费米温度区间的反铁磁态、高温超导态、赝隙态等 [7-9] 。
操控超冷费米气体的相互作用势能,可以探究超冷费米气体丰富多彩的多体物理,超冷费米气体受费米泡利排斥的限制,原子间的相互作用可以进行稳定的调控,为探究超冷费米气体流体动力学、非平衡动力学、普适热力学等提供了有力的研究手段 [10-11] 。
华东师范大学超冷量子气体研究小组主要利用全光的手段冷却原子,在极低温的情况下开展强相互作用超冷费米气体的研究。本文主要介绍该研究小组近期在超冷量子气体新奇非平衡动力学方面的研究进展。通过精确操控原子气体的外加势和原子间的相互作用,研究人员发现了新的膨胀动力学以及利用费米气体作为工作介质开展多体量子热机的研究进展,这些研究在基础物理问题的研究和未来量子器械的研制中具有重要的意义。
对于中性原子气体来说,原子气体是稀释气体,而原子间的散射碰撞相互作用属于短程相互作用,原子间的散射长度一般是小于原子之间距离的。如果原子间散射长度远小于原子间距,原子间相互作用就可以被忽略,中性原子系统即可被认为是无相互作用系统。假若原子间散射长度远远大于原子的间距,此时原子间散射碰撞将占据主导作用,原子间相互作用能成为系统的主要能量,这种原子气体被称为幺正原子气体。
超冷玻色气体是由全同的玻色子组成的,由于粒子的全同性,当原子间散射碰撞占据主导时,原子将会体现出非常大的原子损耗。超冷费米气体由于受到费米泡利排斥的作用,原子气体的散射碰撞损耗得到了很大程度的抑制,可以稳定地开展强相互作用多体物理的研究。因此强相互作用的费米气体为复杂多体强关联系统的研究提供了理想的实验对象。
无论无相互作用费米气体还是幺正费米气体,系统中均存在标度不变动力学对称性,在这种动力学对称性下,超冷费米量子气体的局域关联函数在演化过程中是自相似的,因此其热力学流体性质可以通过一个简单的坐标含时标量因子变换来描述,极大地简化了多体非平衡系统动力学的复杂性。这一标度不变对称性可以激发许多少体和多体动力学的研究,在热力学和流体力学方面产生许多普适的动力学规律 [12-15] 。
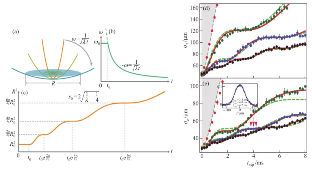
我们在这样的超冷费米气体中发现了一个新奇的动力学Efimovian膨胀(图3) [11] :在标度不变对称性下,当超冷费米气体所处谐振子阱的频率按照特定关系连续变化时,原子团的膨胀过程将会随着时间变化出现一系列分离的平台结构。在每一个平台附近费米气体几乎停止了膨胀,平台的位置和大小构成了一个等比数列,呈现出指数周期式分布。
图3 Efimovian膨胀动力学示意图。(a)、(b)原子气体频率的变化过程;(c) Efimovian膨胀动力学的理论预测;(d)无相互作用费米气体和(e)幺正费米气体的Efimovian膨胀动力学的实验观测结果
这种新奇的动力学膨胀过程巧妙地联系到了三体物理中著名的Efimov效应 [16-19] 。Efimov效应最初是由苏联理论物理学家Efimov在1970年提出的,认为在短程相互吸引的玻色粒子中,两两粒子间没有二聚物组成,然而3个粒子却可以束缚在一个新奇的三体束缚态上 [16] ,这一三体束缚态被称为“Efimov”态。考虑全同的玻色粒子,当两两粒子间发生共振时,Efimov预测此时会产生无穷多个三体束缚态,且这一系列的束缚态呈独特的离散空间标度对称性,相邻的两个Efimov量子态的能量比值相同。这一优美的理论最初是在核物理中预测的,30年后被奥地利因斯布鲁克大学的R. Grimm研究小组证实。他们在超冷的
Efimovian膨胀动力学与Efimov效应有着非常相似的数学表达式,这是由超冷量子费米原子气体所具有的对称性决定的,只有在空间和时间上同时具有标度不变性的时候才会出现。当超冷费米气体原子间相互作用为有限值时,系统的标度不变对称性遭到破坏,此时系统的量子化平台结构也不能再维持 [20] 。
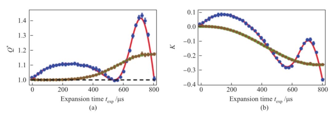
近期有理论研究发现,3个费米子在二维空间p波相互作用下也可以形成类似的三体束缚态,被称为超级Efimov效应 [21] 。超级Efimov效应的能量本征值不再是简单的指数依靠关系,而是呈现出双指数的标量行为。然而,较大标量因子和双指数依靠关系的存在使得三体束缚态间的能量比值变得非常巨大,并且随着束缚态能级的增加这一能量比值会变得愈加巨大,即便有理论建议可以通过采用不同质量的原子种类来缩小这一差值 [22-23] ,超级Efimov效应目前在实验中仍旧难以观测。
尽管如此,在标度不变费米气体中却仍旧可以开展动力学超级Efimov效应的研究 [24-25] 。当超冷费米气体的频率按照超级Efimov效应类似的数学表达式进行变化时,在时间和空间坐标下,超冷费米气体无论是在无相互作用下还是处于幺正区域均呈现出与超级Efimov效应类似的时间空间离散结构。将其转化到双对数坐标下,原子团大小清晰地展现出正弦振荡的行为,表征出原子气体膨胀过程中所显现的双对数依靠关系。
值得一提的是,超级Efimovian膨胀动力学过程中不仅原子团大小呈现双对数依靠关系,其能量本征值也符合双对数标量关系。谐振子阱中的量子气体的能量可以认为是势能和内能之和,内能包括原子气体的动能和相互作用能。在无相互作用费米气体中,原子间不存在散射碰撞,相互作用能为零,系统可以简单地认为只存在势能和动能。随着超级Efimovian膨胀动力学行为的进行,原子气体的内能和势能同步减少,且内能和势能存在很大程度的周期式交换过程,其能量交换的周期刚好和超级Efimov效应的振荡周期相同。超级Efimov效应动力学过程中内能和势能均符合双对数指数标度关系,且振荡周期相同,相位相差
2.2 多体量子热机简介
发动机是现代工业的心脏,长期以来,对发动机的研究一直是人类现代工业研究的重心之一。但是经典发动机的运行面临着熟悉的绝热定理:提高设备的效率需要较长的运行时间,这样会降低设备的输出功率;而较短的循环时间又会增加摩擦和损耗,降低设备的效率。任何现实设备都将面临这种权衡,从而几乎很难达到理论热机极限效率(比如汽车发动机的效率一般只能达到40%)。
然而,对于量子热机而言,工作物质为量子物质,具有微尺度和相干性等量子特性,其热机效率和输出功率相比经典热机都会有很大的提升。与经典热机类似,量子热机的性能主要也表现在热机效率和输出功率这两个方面,其热机效率和输出功率也存在互相制约的关系 [26-29] 。理论上,只有在工作时间无限长的情况下,热机效率才有可能达到卡诺热机极限。实际上,热机为了提高输出功率总是要求系统做功时间尽可能地缩短,从而导致出现量子摩擦,进而热机效率降低。因此,利用有限时间热力学分析优化量子热机性能成为研究量子热机的核心内容之一 [27, 29-30] 。
通过优化热机的热效率和输出功率间的关系,目前已有单粒子体系的量子热机在实验中被成功实现 [30-32] 。这是架构在一个
超冷的费米量子气体也可以用来开展量子热机研究。由于超冷费米量子气体是一个多体的量子系统,是一种大量粒子的集合体,每个粒子都可以作为一个单独的热机来对外做功,这样就可以使得集成的输出功率得到很大的提高。并且对于这种多体的量子流体系统来说,粒子服从量子统计规律且粒子间存在着多体关联,这会使多体量子热机出现“量子霸权” [33] ,其输出功率和热机效率相比单粒子体系的量子热机进一步得到提高。图4是一个多体量子奥托热机的模型图,整个循环分为4个冲程,即等熵压缩、等容加热、等熵膨胀、等容冷却。其中等熵过程中,系统与外界无热交换,为孤立系统,通过压缩(膨胀)量子气体对外界做功,一般情况下量子流体在B点与D点处为非热平衡态;等容过程中,量子流体的频率不发生改变,与外界热源进行热交换,并在等容过程结束后(C点与A点)达到热平衡态并移除热源。
在量子气体对外做功时,非绝热激发充当量子摩擦的角色,量子摩擦的存在使得非绝热因子。若系统中不存在量子摩擦,量子热机将和经典热机有着相同的卡诺热机极限,
。然而,由于输出功率的要求,循环时间必须要尽可能地缩短,致使系统中的非绝热激发加大,降低其热机效率 [34] 。
随着有限时间热力学的发展,特别是量子绝热捷径技术的使用,多体量子热机得到了迅猛的发展。最近几年的理论研究表明,量子热机的热效率和输出功率之间相互制约的关系并非一定存在,在量子流热机中应用量子绝热捷径技术可以有效消除系统中存在的量子摩擦,理论上甚至可以在保证最大热效率的同时获取任意高的输出功率 [34–37] 。
近期,华东师范大学超冷量子气体研究小组在幺正费米气体中开展了超绝热量子摩擦抑制工作 [38] 。基于幺正费米气体所具有的标度不变对称性,在超冷费米气体中可以通过局域透热驱动的量子绝热捷径(LCD STA)技术实现多体强相互作用系统的无摩擦做功。
实验研究了幺正费米气体在时间依靠的谐振子阱中的等熵压缩和等熵膨胀过程,图5所示的是膨胀过程的量子摩擦以及对外做功情形。在有限的时间内,幺正费米气体在非绝热过程中存在较大的非绝热激发,在膨胀时间结束后原子气体处于非平衡态。整个对外做功过程中,系统存在较大的摩擦损耗(>1),使得系统损失了部分输出功。然而,通过优化动力学膨胀过程(LCDSTA技术),在相同的有限短时间内原子气体在膨胀时间结束后达到热平衡态,量子摩擦得到极大的抑制且输出功没有损耗。实验证实了量子摩擦的存在可以不依赖于循环工作时间,以此为基础研制的多体量子热机有望保证最大热效率的同时尽可能提高输出功率,这将对量子热机的发展具有重要的影响。
超冷量子气体还有着非常丰富的研究内容供我们探索和追寻,如其在光学腔内量子气体、极性量子原子气体、重力计、量子计算机、引力波探测等许多领域都有重要的应用,是当代物理研究的核心内容之一,对于我们探索世界、认知自然至关重要。我们相信,未来对于超冷量子气体的研究能够得到更加迅猛的发展,并在人类探索自然和利用物理规律改造自然方面扮演更重要的角色。
参考文献
[2] BOURDEL T, KHAYKOVICH L, CUBIZOLLES J, et al. Experimental study of the BEC-BCS crossover region in lithium 6 [J]. Physical Review Letters, 2004, 93: 050401.
[3] CAMPBELL S L, HUTSON R B, MARTI G E, et al. A Fermi-degenerate three-dimensional optical lattice clock [J]. Science, 2017, 358(6359): 90-94.
[4] FRANCESCA F, CHIARA D E, GIACOMO R, et al. Precise determination of K-Rb scattering lengths from Feshbach spectroscopy [J]. Physical Review A, 2006, 73: 040702(R).
[5] WANG P J, YU Z Q, FU Z K, et al. Spin-orbit coupled degenerate Fermi gases [J]. Physical Review Letters, 2012, 109: 095301.
[6] FU Z K, HUANG L H, MENG Z M, et al. Production of Feshbach molecules induced by spin-orbit coupling in Fermi gases [J]. Nature Physics, 2014, 10:110.
[7] MAZURENKO A, CHIU C S, JI G, et al. Experimental realization of a long-range antiferromagnet in the Hubbard model with ultracold atoms [J]. Nature, 2017, 545: 462.
[8] PARSONS M F, MAZURENKO A, CHIU C S, et al. Site-resolved measurement of the spin-correlation function in the Fermi-Hubbard model [J]. Science, 2016, 353: 1253.
[9] CHEUK L W, NICHOLS M A, LAWRENCE K R, et al. Observation of spatial charge and spin correlations in the 2D Fermi-Hubbard model [J]. Science, 2016, 353: 1260.
[10] O’HARA K M, HEMMER S L, GEHM M E, et al. Observation of a strongly interacting degenerate Fermi gas of atoms [J]. Science, 2002, 298: 2179.
[11] DENG S, SHI Z, DIAO P, et al. Observation of the Efimovian expansion in scale-invariant Fermi gases [J]. Science, 2016, 353: 371.
[12] KU M J, SOMMER A T, CHEUK L W, et al. Revealing the superfluid lambda transition in the universal thermodynamics of a unitary Fermi gas [J]. Science, 2012, 335: 563.
[13] HO T L. Universal thermodynamics of degenerate quantum gases in the unitarity limit [J]. Physical Review Letters, 2004, 92: 090402.
[14] MAKOTYN P, KLAUSS C E, GOLDBERGER D L, et al. Universal dynamics of a degenerate unitary Bose gas [J]. Nature Physics, 2014, 10: 116.
[15] BULGAC A, DRUT J E, MAGIERSKI P. Thermodynamics of a trapped unitary Fermi gas [J]. Physical Review Letters, 2007, 99: 120401.
[16] EFIMOV V. Energy levels arising form the resonant two-body forces in a three-body system [J]. Phys Lett B, 1970, 33(8): 563.
[17] KRAEMER T, MARK M, WALDBURGER P, et al. Evidence for Efimov quantum states in an ultracold gas of cesium atoms [J]. Nature, 2006, 440: 315.
[18] BRAATEN E, HAMMER H W. Feshbach resonances in ultracold gases [J]. Phys Rep, 2006, 428: 259.
[19] BRAATEN E, HAMMER H W. Efimov physics in cold atoms [J]. Ann Phys, 2007, 322: 120.
[20] GHARASHI S E, BLUME D. Broken scale-invariance in time-dependent trapping potentials [J]. Phys Rev A, 2016, 94: 063639.
[21] NISHIDA Y, MOROZ S, SON D T. Super Efimov effect of resonantly interacting fermions in two dimensions [J]. Physical Review Letters, 2013, 110: 235301.
[22] MOROZ S, NISHIDA Y. Super Efimov effect for mass imbalanced systems [J]. Phys Rev A, 2014, 90: 063631.
[23] ULMANIS J, HÄFNER S, KUHNLE E D, et al. Heteronuclear Efimov resonances in ultracold quantum gases [J]. Nat Sci Rev, 2016, 3: 174.
[24] SHI Z, QI R, ZHAI H, et al. Dynamic super Efimov effect [J]. Phys Rev A, 2017, 96: 050702.
[25] DENG S, DIAO P, LI F, et al. Observation of dynamical super-efimovian expansion in a unitary Fermi gas [J]. Physical Review Letters, 2018, 120: 125301.
[26] REZEK Y, KOSLOFF R. Irreversible performance of a quantum harmonic heat engine [J]. New J Phys, 2006, 8: 83.
[27] SALAMON P, HOFFMANN K H, REZEK Y, et al. Maximum work in minimum time from a conservative quantum system [J]. Phys Chem Chem Phys, 2009, 11: 1027.
[28] REZEK Y, SALAMON P, HOFFMANN K H, et al. The quantum refrigerator: the quest for absolute zero [J]. Europhysics Letters, 2009, 85: 30008.
[29] ABAH O, LUTZ E. Optimal performance of a quantum Otto refrigerator [J]. EPL, 2016, 113: 60002.
[30] ABAH O, ROßNAGEL J, JACOB G, et al. Single-ion heat engine at maximum power [J]. Physical Review Letters, 2012, 109: 203006.
[31] ROßNAGEL J, ABAH O, SCHMIDT-KALER F, et al. Nanoscale heat engine beyond the Carnot limit [J]. Physical Review Letters, 2014, 112: 030602.
[32] ROßNAGEL J, DAWKINS S T, TOLAZZI K N, et al. A single-atom heat engine [J]. Science, 2016, 352: 325.
[33] JARAMILLO J, BEAU M, DEL CAMPO A. Quantum supremacy of many-particle thermal machines [J]. New J Phys, 2016, 18: 075019.
[34] DEL CAMPO A, GOOLD J, PATERNOSTRO M. More bang for your buck: super-adiabatic quantum engines [J]. Sci Rep, 2014, 4: 06208.
[35] BEAU M, JARAMILLO J, DEL CAMPO A. Scaling-up quantum heat engines efficiently via shortcuts to adiabaticity [J]. Entropy, 2016, 18: 168.
[36] DEL CAMPO A, RAMS M M, ZUREK W H. Assisted finite-rate adiabatic passage across a quantum critical point: exact solution for the quantum Ising model [J]. Physical Review Letters, 2012, 109: 115703.
[37] LI J, FOGARTY T, CAMPBELL S, et al. An efficient nonlinear Feshbach engine [J]. New J Phys, 2018, 20: 015005.
[38] DENG S, CHENU A, DIAO P, et al Superadiabatic quantum friction suppression in finite-time thermodynamics [J]. Sci Adv, 2018, 4(4): 5909.









暂无评论内容